10月31日教资笔试考试,考多少分数能顺利通过呢?
编辑:育德园师 2020-11-02
1180
2020下半年的教师资格证笔试考试终于于上个周六考试结束了,相信很多的考生都大大的松了一口气,小编也是一样的,因为这次的考试等待的时间实在是太漫长了,不过还好,最终是顺利的举办考试了呢,接下来就是等待成绩的公布了,那这次的考试成绩到底是何时公布呢?参加这次考试的同学要考多少分才能顺利通过考试呢?这是考完试后所有同学最最关心的两个问题呢!
其实,关于这次笔试考试成绩的公布时间,在很早前就已经公布了的,其具体公布成绩的时间是12月10日。而考试成绩合格分数线,同学们就必须要了解卷面满分150分和报告满分120分这两种情况,而关于卷面满分和报告满分的关系小编总结如下:
卷面满分:指平时做的真题卷分数,满分为150分。报告满分和报告合格分:指卷面满分通过公式换算的分数,满分为120分;报告合格分数为70分。
老师在阅卷的时候,会根据150分的卷面满分标准,打一个卷面得分,之后再依据一定的换算标准,折合成报告得分。报告分数就是你查成绩时的分数!只要你的报告分数≥70分,就合格啦!那么卷面分数和报告分数之间的换算关系是怎样的呢?
换算标准:通过率
教师资格证考试是竞争性考试,通过设置比率以筛选出优质的教师资源。每个省份的通过率是类似的,经测算和历年观察,大概在30%左右。今年大概也是一样的情况。通过率是怎样影响分数的呢?
举个例子:某省,去年教师资格证考生共9000人,通过率30%,第2700名考生卷面分数90分,所以90分是及格分数;今年考生共10000人,通过率29%,第2900名考生卷面分数92分,所以92分是及格分数。卷面分数低于92分的,就统统不合格。
因此,考生的整体水平,是影响合格分数浮动的重要因素。
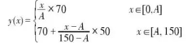
换算公式
卷面分数<及格分数时:Y(X)=X/A*70
卷面分数≥及格分数时:Y(X)=70+(X-A)/(150-A)*50
其中X=卷面分数,A=及格分数线,Y(X)=转换后的分数(也就是能查到的分数)
假如卷面得分是100分,而考试方依照比率设置的及格分数线是90分,那么报告分数=78.33分,大于70分,表示成绩合格。假如卷面分是88分,考试方依照比例设置的及格分数线是90分,那么报告分数=68.44分,低于70分,表示成绩不合格。假如卷面分是90分,及格分数线也是90分,那么报告分数=70分,表示成绩合格。
到底考多少分才能合格?
很多考过的同学会有这样的疑惑,为什么十拿九稳的科目一考试没过,拿不准的科目二却过了。
结合上面讲过的通过率就不难理解了,科目一考察的内容通俗易懂,觉得都学过就没有好好复习,正好其他同学也这么想,导致大家考试成绩都差不多,如果成绩正好卡在通过率及格线上,那么很容易就不过;科目二考察的内容专业性强,一难俱难,但专心复习了,所以比其他人表现更好一些,因此就过了。
因此,要想教师资格证笔试考试顺利通过,还是需要得到更高的卷面分数,以便顺利通过这次教资考试啦!


